注册美国商标成功案例
2015-11-12 11:27 来源:未知 点击:次 编辑:易辰国际
►最专业的顾问团队为您量身打造最佳的办理方案!
►详情欢迎咨询:【电话】010-87518340. 【QQ】2692495095.
►详情欢迎咨询:【电话】010-87518340. 【QQ】2692495095.
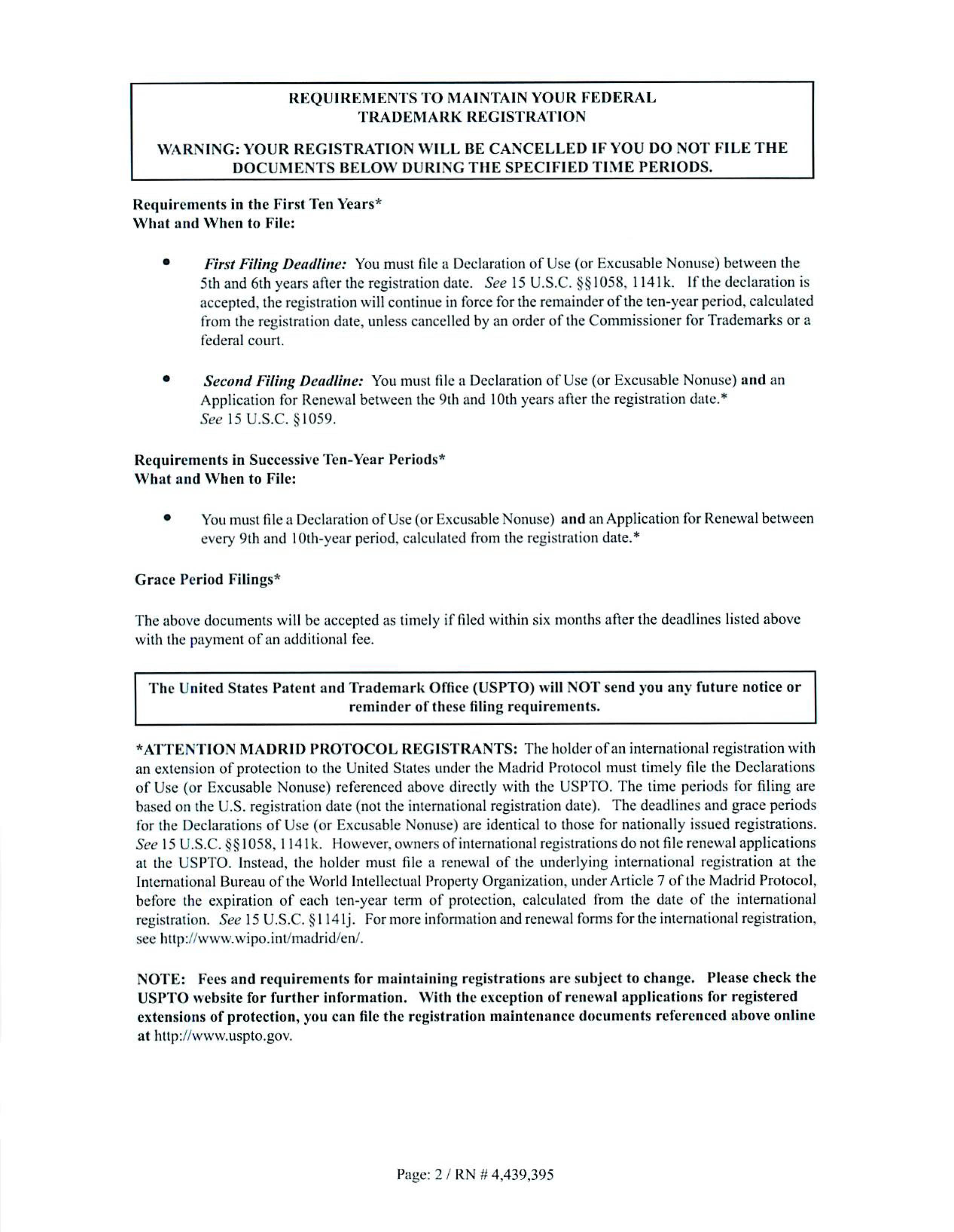
注册美国商标成功案例文件
为了保护客户资料和信息只能为您展示部分资料。




美国商标局官网 http://www.uspto.gov/
上一篇:美国商标申请过程中常见失误
下一篇:注册美国商标多少钱
相关内容
推荐阅读
阅读排行

30秒免费人工查询能否注册





